3D Quadrilateral Area Calculator

Example Presets:

Enter Coordinates:

Point A

Point B

Point C

Point D

Enter coordinates or select a preset to begin.

The visualization will update in real-time as you type.

3D Visualization

Rotate: Click and drag | Zoom: Mouse wheel | Pan: Right-click and drag

The Ultimate Solution for Calculating 3D Quadrilateral Areas – Now Live on AICalculator.in!

Have you ever struggled with calculating the area of a 3D quadrilateral? Whether you’re a student, engineer, architect, or 3D modeling enthusiast, working with quadrilaterals in 3D(three-dimensional) space can be tricky. But worry no more—AICalculator.in has launched an advanced AI 3D Quadrilateral Area Calculator that makes these calculations effortless!

What Is a 3D Quadrilateral?

3D quadrilateral is a four-sided shape where the vertices exist in three-dimensional space (with x, y, and z coordinates). Unlike flat (2D) quadrilaterals, 3D quadrilaterals can be:

  • Planar: All four points lie on the same flat surface.
  • Skew (Non-Planar): Points do not lie on the same plane, creating a “twisted” shape.

Calculating the area of a planar quadrilateral is similar to 2D methods, but skew quadrilaterals require a different approach—splitting them into triangles.

Why Is Calculating 3D Quadrilateral Area Important?

This calculation is essential in:

✔ Engineering & Architecture – For structural design and surface area calculations.
✔ Computer Graphics & Game Design – For rendering 3D models accurately.
✔ Physics & Robotics – For collision detection and spatial analysis.
✔ Mathematics & Education – For learning vector geometry and 3D space concepts.

But manual calculations are complex. That’s why we built an automated, real-time calculator to do it for you!

Introducing the 3D Quadrilateral Area Calculator on AICalculator.in

Our free online tool instantly computes the area of any 3D quadrilateral, whether planar or skew.

Key Features of the 3D Quadrilateral Area Calculator:

Real-Time 3D Visualization – See your shape dynamically update as you input coordinates.
Auto-Detection of Planar/Skew Shapes – No need to guess—the tool checks for you.
Interactive Controls – Rotate, zoom, and pan the 3D model for better understanding.
Example Presets – Quickly load test cases (planar square, skew quadrilateral, etc.).
Step-by-Step Results – Displays area, coordinates, and quadrilateral type.

How to Use the 3D Quadrilateral Area Calculator – Step-by-Step Guide

Using the 3D Quadrilateral Area Calculator is super simple, Just Follow the easy steps:

Step 1: Enter Coordinates

Input the (x, y, z) values for Points A, B, C, and D.

Step 2: (Optional) Load a Preset

Click a preset (e.g., “Planar Square” or “Skew Quadrilateral”) for quick examples.

Step 3: View Real-Time 3D Model

The tool renders the shape instantly. Rotate and zoom to inspect it.

Step 4: Get Instant Results

The calculator displays:

  • Area (exact value)
  • Type (Planar or Skew)
  • All Coordinates (for verification)

Formulas For calculating 3D Quadrilateral Area

The 3D Quadrilateral Area Calculator uses two methods, depending on whether the quadrilateral is planar or skew.

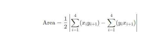
Method 1: Planar Quadrilaterals (All points lie on a plane)

Uses the Shoelace Formula after projecting points onto a 2D plane.

Formula:

3D Quadrilateral Area Calculator

where x5=x1x5​=x1​ and y5=y1y5​=y1​)

Example:
For points A(0,0,0), B(1,0,0), C(1,1,0), D(0,1,0) (a square on the XY plane):Area=12∣(0⋅0+1⋅1+1⋅1+0⋅0)−(0⋅1+0⋅1+1⋅0+1⋅0)∣=1Area=21​∣(0⋅0+1⋅1+1⋅1+0⋅0)−(0⋅1+0⋅1+1⋅0+1⋅0)∣=1

Method 2: Skew Quadrilaterals (Non-planar)

Splits the shape into two triangles and sums their areas using the cross product method.

Formula:

3D Quadrilateral Area Calculator
How to Find the Area of a Quadrilateral in 3D?

To find the area of a 3D quadrilateral, follow these steps:
For Planar Quadrilaterals (All points lie on the same plane):
Step 1: Project the 3D points onto a 2D plane (XY, XZ, or YZ).
Step 2: Use the Shoelace Formula to calculate the area in 2D.
For Skew Quadrilaterals (Points not on the same plane):
Step 1: Split the quadrilateral into two triangles.
Step 2: Calculate each triangle’s area using the cross product method.
Step 3: Add both areas to get the total quadrilateral area.
🔹 Easiest Solution? Use our 3D Quadrilateral Area Calculator for instant results!

What Is the Formula for the Area of a 3D Shape?

3D shapes (like cubes, spheres, etc.) have surface area formulas, but for 3D quadrilaterals, we calculate area differently:
For Planar Quadrilateral
Shoelace Formula (after projection)
Skew Quadrilateral
Sum of two triangle areas (using cross product)
🔹 Example:
For a skew quadrilateral with points A(1,0,0), B(0,1,0), C(0,0,1), D(1,1,1):
Area = √3 ≈ 1.732 (calculated via cross product).

What Is the Formula for Quadrilateral Area?

The formula depends on whether the quadrilateral is 2D or 3D:

For 2D Quadrilaterals:

Use the Shoelace Formula:

3D Quadrilateral Area Calculator

(where x5=x1x5​=x1​ and y5=y1y5​=y1​)

For 3D Quadrilaterals:
  • Planar: Project to 2D → Use Shoelace Formula.
  • Skew: Split into triangles → Use cross product.

🔹 Try our 3D Quadrilateral Calculator for automatic computation!

How to Calculate the Area of Land with 4 Unequal Sides?

If you have 4 corner points (A, B, C, D) in 3D space:

✅ Step 1: Measure the coordinates (x, y, z) of each corner.
✅ Step 2:

  • If the land is flat (planar): Use the Shoelace Formula.
  • If the land is uneven (skew): Split it into two triangles and sum their areas.

🔹 Example:
For land with points A(0,0,0), B(10,0,1), C(10,10,2), D(0,10,1):

  • Area ≈ 100.5 sq. units (calculated via cross product).

Step 3: Use Our 4 Unequal Sides Calculator! for instant Result


What Are the Formulas of 3D Shapes?

Here’s a quick reference table:

3D ShapeSurface Area Formula
Cube6a26a2 (a = side length)
Sphere4πr24πr2 (r = radius)
Cylinder2πr(r+h)2πr(r+h)
Coneπr(r+l)πr(r+l) (l = slant height)
3D QuadrilateralPlanar: Shoelace Formula
Skew: Sum of Triangle Areas

🔹 For 3D quadrilaterals, our free calculator does all the math for you!

Final Thoughts

Calculating the area of a 3D quadrilateral manually is complex, but our AICalculator.in tool makes it instant and accurate!

Whether you’re:

  • student learning 3D geometry
  • An engineer designing structures
  • developer working on 3D graphics

This calculator is your go-to solution!