Are you looking for a solution for calculating the Area of Land with 4 Unequal Sides?
Calculating the land area with four unequal sides can be challenging, especially when it does not form a regular shape like a rectangle or square. However, several mathematical methods can help determine the exact land area. In this article, we will explore different techniques and step-by-step approaches to finding the area of an irregular quadrilateral.
Methods to Calculate Area of Land with 4 Unequal Sides
1. Using Brahmagupta’s Formula (For Cyclic Quadrilateral)
Brahmagupta’s formula is applicable when the quadrilateral is cyclic, meaning all four vertices lie on a common circle.
Formula:

Where:
- s = Semi-perimeter = a+b+c+d/2
- a, b, c, d are the lengths of the four sides
Steps:
- Measure the four sides of the land.
- Calculate the semi-perimeter.
- Apply the formula and compute the area.
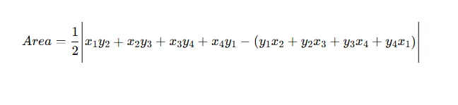
2. Using the Surveyor’s Formula (Shoelace Theorem)
If the coordinates of the four corners are known, the area can be calculated using the Shoelace Theorem.
Formula:

Steps:
- Assign coordinates to all four points.
- Substitute values into the formula.
- Solve to get the area.
3. Dividing the Quadrilateral into Two Triangles
If the quadrilateral is irregular, dividing it into two triangles and calculating their areas separately is an effective method.
Steps:
- Choose a diagonal and divide the quadrilateral into two triangles.
- Apply Heron’s formula or the standard triangle area formula:

- Add both triangle areas to get the total land area.
4. Using Trapezoidal Rule (If Opposite Sides Are Nearly Parallel)
If two opposite sides are roughly parallel, the quadrilateral can be approximated as a trapezoid.
Formula:

Steps:
- Identify the two parallel or nearly parallel sides.
- Measure the height (perpendicular distance between the bases).
- Use the formula to calculate the area.
There is no single method to calculate the area of a four-sided land plot with unequal sides. The best approach depends on the available data—whether side lengths, coordinates, or angles are known. By choosing the most suitable formula, one can accurately determine the land area for practical purposes such as agriculture, construction, or real estate transactions.


